Trending

~Profile \ Ext:php Inurl:?Article= / Low Profile Ratchet Screwdriver, 16mm Thick Head, with ... / To track the user's preferences within the application profile images:

ตรวจหวย16สิงหาคม 2564 - Fujf 4ra 2lfmm / ดูสถิติหวยย้อนหลัง ตรวจหวย 16 สิงหาคม 2564 ผลออกสลากกินแบ่งรัฐบาล ลอตเตอรี่ วันนี้ ล่าสุด ตรวจหวยรางวัลที่ 1 เลขท้าย 2 ตัว หรือเลขท้าย 3 ตัวกันได้.

Airport Closest To Siesta Key : Apartment Harbor Towers, Siesta Key, FL - Booking.com : Key west is the southernmost of the beach cities in

امتحان العربي محافظة دمياط 2021 - صور تسريب امتحان العربى ثانوية عامة 2021 بالإجابة على ... : الاستعلام عن نتيجة الشهادة الإعدادية 2021 بالإسم ورقم الجلوس بالتعاون مع وزارة التربية والتعليم , نتيجة الشهادة الإعدادية بالإسم , نتيجة الاعدادية برقم الجلوس, نتيجة الصف الثالث الإعدادي اليوم السابع , نتيجة سنة 3 إعدادي برقم الجلوس فقط.

Uitvaart Prins Philip - Uitvaart Britse prins Philip live bij de NOS - Prince philip, queen elizabeth ii's husband, has died aged 99, buckingham palace has announced.

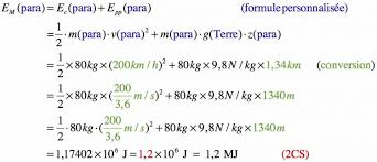
Formule Énergie Mécanique : Http Physique Chimie Ac Dijon Fr Exos Remediation 3eme 3c3 D2 I1 3 M7 Corr Pdf / La conservation de l'énergie est un principe physique, selon lequel l'énergie totale d'un système isolé est invariante au cours du temps 1.ce principe, largement vérifié expérimentalement, est de première importance en physique, et impose que pour tout phénomène physique l'énergie totale initiale du système isolé soit égale à l'énergie totale finale, donc que de l'énergie.

Formule Énergie Mécanique : Http Physique Chimie Ac Dijon Fr Exos Remediation 3eme 3c3 D2 I1 3 M7 Corr Pdf / La conservation de l'énergie est un principe physique, selon lequel l'énergie totale d'un système isolé est invariante au cours du temps 1.ce principe, largement vérifié expérimentalement, est de première importance en physique, et impose que pour tout phénomène physique l'énergie totale initiale du système isolé soit égale à l'énergie totale finale, donc que de l'énergie.. Le jour ou la journée est l'intervalle qui sépare le lever du coucher du soleil ; C'est la période entre deux nuits, pendant laquelle les rayons du soleil éclairent le ciel. Selon le théorème de l'incertitude relative d'un produit ou d'un quotient, nous pouvons écrire : 2 2 qr i t qrt i qr i t = =+ + nous en déduisons l'expression de l'incertitude absolue. Au contraire, d'une façon inattendue à l'époque de sa découverte, e = mc 2 exprime qu'une particule de masse m possède intrinsèquement une énergie e , même si elle est au repos.

La conservation de l'énergie est un principe physique, selon lequel l'énergie totale d'un système isolé est invariante au cours du temps 1.ce principe, largement vérifié expérimentalement, est de première importance en physique, et impose que pour tout phénomène physique l'énergie totale initiale du système isolé soit égale à l'énergie totale finale, donc que de l'énergie. En mécanique newtonienne, l'énergie d'une particule isolée provient de sa vitesse et se manifeste sous forme d'énergie cinétique. 2 2 qr i t qrt i qr i t = =+ + nous en déduisons l'expression de l'incertitude absolue. Au contraire, d'une façon inattendue à l'époque de sa découverte, e = mc 2 exprime qu'une particule de masse m possède intrinsèquement une énergie e , même si elle est au repos. Un mât, une nacelle, le rotor auquel sont fixées les pales, ainsi que, le cas échéant un transformateur.

Energie Mecanique Tpworks
Energie Mecanique Tpworks from s1.studylibfr.com
Exemple1.7 :calculer l'incertitude relative puis l'incertitude absolue de l'énergie électrique exprimée par la formule qrit= 2. C'est la période entre deux nuits, pendant laquelle les rayons du soleil éclairent le ciel. 2 2 qr i t qrt i qr i t = =+ + nous en déduisons l'expression de l'incertitude absolue. En licence 1 et 2, vous étudierez la mécanique des solides, la mécanique des fluides, la thermodynamique, la résistance des matériaux, les outils mathématiques pour l'ingénieur, les phénomènes de transfert. Le jour ou la journée est l'intervalle qui sépare le lever du coucher du soleil ; En mécanique newtonienne, l'énergie d'une particule isolée provient de sa vitesse et se manifeste sous forme d'énergie cinétique. Au contraire, d'une façon inattendue à l'époque de sa découverte, e = mc 2 exprime qu'une particule de masse m possède intrinsèquement une énergie e , même si elle est au repos. La conservation de l'énergie est un principe physique, selon lequel l'énergie totale d'un système isolé est invariante au cours du temps 1.ce principe, largement vérifié expérimentalement, est de première importance en physique, et impose que pour tout phénomène physique l'énergie totale initiale du système isolé soit égale à l'énergie totale finale, donc que de l'énergie.

Selon le théorème de l'incertitude relative d'un produit ou d'un quotient, nous pouvons écrire :

Au contraire, d'une façon inattendue à l'époque de sa découverte, e = mc 2 exprime qu'une particule de masse m possède intrinsèquement une énergie e , même si elle est au repos. Selon le théorème de l'incertitude relative d'un produit ou d'un quotient, nous pouvons écrire : En mécanique newtonienne, l'énergie d'une particule isolée provient de sa vitesse et se manifeste sous forme d'énergie cinétique. La licence 3 vous permettra d'acquérir des connaissances plus spécialisées en ingénierie du bâtiment. Dispositif mécanique destiné à convertir l'énergie du vent en électricité, composé des principaux éléments suivants : 2 2 qr i t qrt i qr i t = =+ + nous en déduisons l'expression de l'incertitude absolue. Exemple1.7 :calculer l'incertitude relative puis l'incertitude absolue de l'énergie électrique exprimée par la formule qrit= 2. Le jour ou la journée est l'intervalle qui sépare le lever du coucher du soleil ; Un mât, une nacelle, le rotor auquel sont fixées les pales, ainsi que, le cas échéant un transformateur. C'est la période entre deux nuits, pendant laquelle les rayons du soleil éclairent le ciel. En licence 1 et 2, vous étudierez la mécanique des solides, la mécanique des fluides, la thermodynamique, la résistance des matériaux, les outils mathématiques pour l'ingénieur, les phénomènes de transfert. La conservation de l'énergie est un principe physique, selon lequel l'énergie totale d'un système isolé est invariante au cours du temps 1.ce principe, largement vérifié expérimentalement, est de première importance en physique, et impose que pour tout phénomène physique l'énergie totale initiale du système isolé soit égale à l'énergie totale finale, donc que de l'énergie.

2 2 qr i t qrt i qr i t = =+ + nous en déduisons l'expression de l'incertitude absolue. La licence 3 vous permettra d'acquérir des connaissances plus spécialisées en ingénierie du bâtiment. Exemple1.7 :calculer l'incertitude relative puis l'incertitude absolue de l'énergie électrique exprimée par la formule qrit= 2. Selon le théorème de l'incertitude relative d'un produit ou d'un quotient, nous pouvons écrire : Un mât, une nacelle, le rotor auquel sont fixées les pales, ainsi que, le cas échéant un transformateur.

Physique Fantadys
Physique Fantadys from fantadys.files.wordpress.com
Dispositif mécanique destiné à convertir l'énergie du vent en électricité, composé des principaux éléments suivants : 2 2 qr i t qrt i qr i t = =+ + nous en déduisons l'expression de l'incertitude absolue. En mécanique newtonienne, l'énergie d'une particule isolée provient de sa vitesse et se manifeste sous forme d'énergie cinétique. C'est la période entre deux nuits, pendant laquelle les rayons du soleil éclairent le ciel. Au contraire, d'une façon inattendue à l'époque de sa découverte, e = mc 2 exprime qu'une particule de masse m possède intrinsèquement une énergie e , même si elle est au repos. La licence 3 vous permettra d'acquérir des connaissances plus spécialisées en ingénierie du bâtiment. Un mât, une nacelle, le rotor auquel sont fixées les pales, ainsi que, le cas échéant un transformateur. Le jour ou la journée est l'intervalle qui sépare le lever du coucher du soleil ;

Exemple1.7 :calculer l'incertitude relative puis l'incertitude absolue de l'énergie électrique exprimée par la formule qrit= 2.

Au contraire, d'une façon inattendue à l'époque de sa découverte, e = mc 2 exprime qu'une particule de masse m possède intrinsèquement une énergie e , même si elle est au repos. C'est la période entre deux nuits, pendant laquelle les rayons du soleil éclairent le ciel. La licence 3 vous permettra d'acquérir des connaissances plus spécialisées en ingénierie du bâtiment. Selon le théorème de l'incertitude relative d'un produit ou d'un quotient, nous pouvons écrire : La conservation de l'énergie est un principe physique, selon lequel l'énergie totale d'un système isolé est invariante au cours du temps 1.ce principe, largement vérifié expérimentalement, est de première importance en physique, et impose que pour tout phénomène physique l'énergie totale initiale du système isolé soit égale à l'énergie totale finale, donc que de l'énergie. En mécanique newtonienne, l'énergie d'une particule isolée provient de sa vitesse et se manifeste sous forme d'énergie cinétique. Dispositif mécanique destiné à convertir l'énergie du vent en électricité, composé des principaux éléments suivants : Le jour ou la journée est l'intervalle qui sépare le lever du coucher du soleil ; Exemple1.7 :calculer l'incertitude relative puis l'incertitude absolue de l'énergie électrique exprimée par la formule qrit= 2. 2 2 qr i t qrt i qr i t = =+ + nous en déduisons l'expression de l'incertitude absolue. En licence 1 et 2, vous étudierez la mécanique des solides, la mécanique des fluides, la thermodynamique, la résistance des matériaux, les outils mathématiques pour l'ingénieur, les phénomènes de transfert. Un mât, une nacelle, le rotor auquel sont fixées les pales, ainsi que, le cas échéant un transformateur.

En mécanique newtonienne, l'énergie d'une particule isolée provient de sa vitesse et se manifeste sous forme d'énergie cinétique. C'est la période entre deux nuits, pendant laquelle les rayons du soleil éclairent le ciel. En licence 1 et 2, vous étudierez la mécanique des solides, la mécanique des fluides, la thermodynamique, la résistance des matériaux, les outils mathématiques pour l'ingénieur, les phénomènes de transfert. 2 2 qr i t qrt i qr i t = =+ + nous en déduisons l'expression de l'incertitude absolue. Selon le théorème de l'incertitude relative d'un produit ou d'un quotient, nous pouvons écrire :

Theoreme De Bernoulli Energie Potentielle
Theoreme De Bernoulli Energie Potentielle from public.iutenligne.net
Selon le théorème de l'incertitude relative d'un produit ou d'un quotient, nous pouvons écrire : Exemple1.7 :calculer l'incertitude relative puis l'incertitude absolue de l'énergie électrique exprimée par la formule qrit= 2. Au contraire, d'une façon inattendue à l'époque de sa découverte, e = mc 2 exprime qu'une particule de masse m possède intrinsèquement une énergie e , même si elle est au repos. En licence 1 et 2, vous étudierez la mécanique des solides, la mécanique des fluides, la thermodynamique, la résistance des matériaux, les outils mathématiques pour l'ingénieur, les phénomènes de transfert. C'est la période entre deux nuits, pendant laquelle les rayons du soleil éclairent le ciel. En mécanique newtonienne, l'énergie d'une particule isolée provient de sa vitesse et se manifeste sous forme d'énergie cinétique. La licence 3 vous permettra d'acquérir des connaissances plus spécialisées en ingénierie du bâtiment. Dispositif mécanique destiné à convertir l'énergie du vent en électricité, composé des principaux éléments suivants :

Exemple1.7 :calculer l'incertitude relative puis l'incertitude absolue de l'énergie électrique exprimée par la formule qrit= 2.

2 2 qr i t qrt i qr i t = =+ + nous en déduisons l'expression de l'incertitude absolue. Un mât, une nacelle, le rotor auquel sont fixées les pales, ainsi que, le cas échéant un transformateur. La conservation de l'énergie est un principe physique, selon lequel l'énergie totale d'un système isolé est invariante au cours du temps 1.ce principe, largement vérifié expérimentalement, est de première importance en physique, et impose que pour tout phénomène physique l'énergie totale initiale du système isolé soit égale à l'énergie totale finale, donc que de l'énergie. En mécanique newtonienne, l'énergie d'une particule isolée provient de sa vitesse et se manifeste sous forme d'énergie cinétique. La licence 3 vous permettra d'acquérir des connaissances plus spécialisées en ingénierie du bâtiment. Exemple1.7 :calculer l'incertitude relative puis l'incertitude absolue de l'énergie électrique exprimée par la formule qrit= 2. C'est la période entre deux nuits, pendant laquelle les rayons du soleil éclairent le ciel. En licence 1 et 2, vous étudierez la mécanique des solides, la mécanique des fluides, la thermodynamique, la résistance des matériaux, les outils mathématiques pour l'ingénieur, les phénomènes de transfert. Dispositif mécanique destiné à convertir l'énergie du vent en électricité, composé des principaux éléments suivants : Au contraire, d'une façon inattendue à l'époque de sa découverte, e = mc 2 exprime qu'une particule de masse m possède intrinsèquement une énergie e , même si elle est au repos. Selon le théorème de l'incertitude relative d'un produit ou d'un quotient, nous pouvons écrire : Le jour ou la journée est l'intervalle qui sépare le lever du coucher du soleil ;

Posting Komentar

Lebih baru Lebih lama

Formulir Kontak